Blog About Authors

Foundations of Tree Shaking

7 min read By Benjamin Cloughessy
cover for Foundations of Tree Shaking

Foundations of Tree Shaking

A rabbit hole for the curious developer

Note: Being neither a mathematician nor a tree-shaking expert, I have written this article with a reasonable amount of speculation where exact processes were unknown to me.

The reader might be interested to know that - only recently - I discovered I didn’t actually know what a graph was. Not completely, anyway.

Or, I suppose, you might be saying to yourself: “I’m actually not that interested.”

Totally fine. The list of things I don’t know is quite long, and if you took notice every time I learned something new, I’m not sure you would have time for anything else.

The point is, I was recently learning about graphs, while also working on optimizing the bundle size for a Microsoft pcf control, and it lead me down a really fun exploration of JavaScript module bundlers and tree-shaking.

I had a hard time finding any single resource that dug into the general steps, mechanics, and mathematics of the tree-shaking process in a way that an idiot someone like me could understand, so here we are.

Hope you enjoy it.

Intro - Graphs

We’ll jump right in with a fly-by of the relevant topics in graph theory. I ask forgiveness from the mathematicians for any lack of nuance in the definitions - my focus is simple practicality.

A graph in graph theory is way of describing relationships. For certain types of data, it is a more efficient storage method, and it also gives us access to several useful mathematical tools and algorithms.

In a graph, nodes (1,2,3,4,5,6) are entities connected by relationships called edges:

Graph theory reference

A directed acyclic graph is a directed graph (the edges have a direction) with no closed loops:

Directed Acyclic Graph Reference

Intro - Modules

Hang on to the graph concepts, we’ll come back to them soon. For now, let’s briefly mention JavaScript modules. The reader is likely familiar with ES2015 import/export statements which allow us to split JavaScript code into (hopefully) small exportable and importable modules. Unless the imports are done dynamically, then all the information regarding what exports are available and what imports are made is static and available at build time.

Intro - Bundlers and Tree-Shaking

While modules are great for developer experience and productivity, our web applications need a single JavaScript bundle at runtime. Bundlers (Webpack, Rollup, Parcel, etc..) try to give us the best of both worlds on this one.

Modules in, bundle out - so to speak.

That bundle can be enormous, and sometimes it’s because my code is bad we’re including unused modules in our bundle. Tree-shaking is the process of finding and removing unused code from our modules before bundling.

Tree Shaking - Building the Dependency Graph

The first step in the tree-shaking process is to build the dependency graph - a directed acyclic graph of all the modules connected to our project.

From here on out I will use a simplified example made with Flourish - an actual example can be far more complex (imagine all the modules and downstream dependencies in even a small node_modules folder)!

Disconnected Nodes

We start by laying out our modules as disconnected nodes. We will imagine using a simple TypeScript/React project (if such a thing exists) with no external libraries:

Disconnected nodes

[Disconnected nodes - visualizing the behavior of me and my closest friends at a party.]

Relationships

Now we define the entry point(s) for our application. An entry point is a starting place for determining what code is reachable in our code base. We’ll use a single entry point - Index.tsx.

If we were using Webpack the config file might look something like this:

   module.exports = {
	entry: {
		main: './Index.tsx'
	}
}

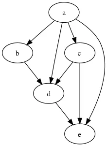
We’re going to turn this lazy sack of nodes into a useful dependency graph! Remember how the imports and exports of our ES2015 modules are static and available at build time? With this, we can give each node metadata about exactly what it is importing/exporting and make our graph look a bit more… graphy.

If node B imports anything from node A, we will draw an arrow from node A to node B. The direction of the arrow might seem a bit backwards, so it can be helpful to remember that the arrow points towards a dependency.

dependency graph example

Now we’re getting somewhere!

We can easily spot that the Footer component isn’t actually being imported into the rest of the project. We’ll be able to eliminate it from the bundle in a bit.

If we could see all the metadata, we would also be able to visualize the specific import/export data for each edge. Although Index.tsx and Login.tsx are both importing something from utils.ts, it might have some unused exports left over. We’ll be able to eliminate them soon.

Graph Traversal - Topological Sorting

There is a way of sorting graphs, called the topological sort, which is only valid for directed acyclic graphs. It will transform our jumbled network of nodes into an ordered array of nodes where each node appears before all the nodes that it point to.

There are two prominent algorithms for traversing a directed acyclic graph and performing the topological sort, namely: depth-first search (DFS) and breadth-first search (BFS).

The basic idea of BFS is most easily seen if you imagine a graph that looks like a pyramid, where each node only points to nodes in the row beneath it. Starting at the top, we would grab each sequential ‘row’ of nodes and work our way down to bottom. As long as the nodes in a row only point to nodes beneath them, this gives us a topological order.

The DFS algorithm can also be imagined with a pyramid. This time, rather than working our way through the pyramid one ‘row’ at a time, we start at the top and follow a single line all the way to the bottom. Once we get to the bottom of a line, we can traverse back up the line, adding our nodes to the list. As we traverse back up the list, whenever we reach a node with some edge we haven’t yet explored, we go down this new edge. The result is a reverse topological order, but we can flip it when we’re done to get the final topological order.

Regardless of the algorithm used, we end up with a list off all modules used in the project, ordered such that every module appears before its dependencies. Any modules that didn’t make it into this list shouldn’t make it into our final bundle.

Given our example project, and the entry point of Index.tsx, a potential topological ordering might be:

   [Index.tsx, indexStyles.css, Login.tsx, utils.ts, loginStyles.css]

Import/Export Analysis

At this point, we should stop to appreciate that we’ve removed any unused modules from our bundle. The next helpful step will be to analyze the specific imports and exports to trim down any modules with unused exports.

Because each node can carry metadata about what it can export, and each edge can carry metadata about what is being imported, our graph already has all the information necessary to trim unused exports off our modules.

If we were to consider our example utils.ts file, I imagine it would look something like this:

Unused exports graph

[utils.ts has some might have unused exports]

   {
	"utils.ts": {
		"exports": ["getData()", "postData()", "transformData()", "authenticateUser()"],
		"imports": []
	},
	"Login.tsx": {
		"exports": ["Login.tsx"],
		"imports": ["authenticateUser()", "loginStyles.css"]
	},
	"Index.tsx": {
		"exports": ["Index.tsx"],
		"imports": ["getData()", "indexStyles.css", "Login.tsx"]
	}
}

By comparing the exports of utils.ts against the imports listed in other nodes, we know we can safely remove both the postData and transformData function exports - further reducing our bundle size.

Practical Implications

I certainly didn’t explore this topic with any goal other than to satisfy my curiosity, but what was learned reinforces and explains some of the best practices we are already familiar with:

When writing code to be imported/exported:

  • use ES2015 modules
  • write and export code in the smallest chunks possible to allow granular import/export analysis

When importing code:

  • prefer specific imports and file paths over general ones when possible

And that’s a wrap! I hope you enjoyed reading.

If you learned anything with me, or if you have any correction suggestions, I would love to hear from you.

You can check out the dynamic version of our graph [here].

Related Posts

There are no related posts yet. 😢
Benjamin Cloughessy avatar

About the Author

Benjamin Cloughessy

Adventurer

Benjamin is a software developer and student of the Word, passionate about both knowing and believing the bible. He particularly is passionate about bringing biblical literacy to the charismatic part of Christ's body.